• Предмет: Математика
  • Автор: sotel090615
  • Вопрос задан 3 года назад

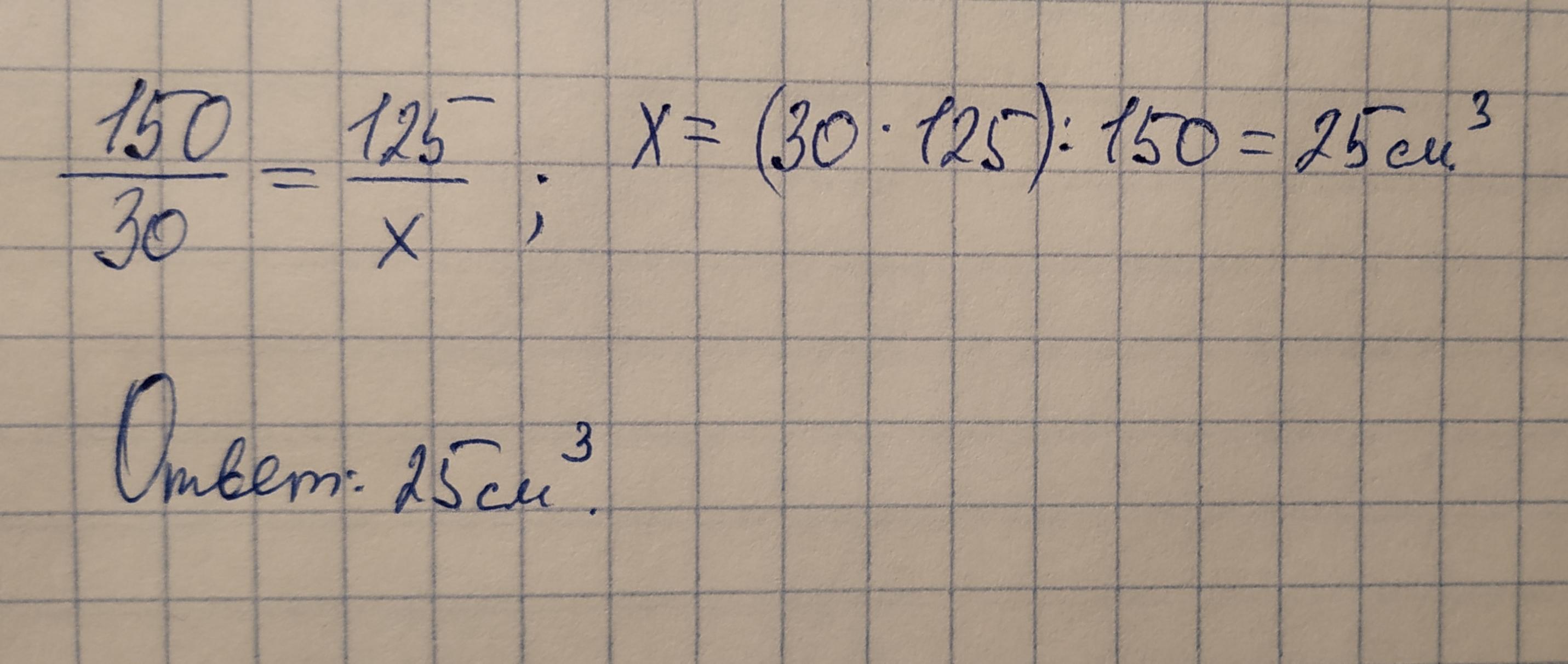
объём детали равен 30 см а масса 150 г. Найдите объём детали сделанного из этого же материала если её масса 125 г​

Ответы

Ответ дал: ViktoriaPobloki
1

Решала методом пропорции ниже.

Приложения:

sotel090615: спасибо
Ответ дал: Sofiiren
0

Ответ:

Пошаговое объяснение:

30 см3 - 150 г

х см3   -125 г

х=30*125:150

х=25 см3

Вас заинтересует