• Предмет: Алгебра
  • Автор: Аноним
  • Вопрос задан 3 года назад

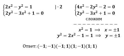
решите способом алгебраического сложения систему уравнений 2x^2-y^2=1. 2y^2-3x^2+1=0​

Ответы

Ответ дал: tamarabernukho
4

Ответ:

Объяснение:

..................................................

Приложения:

Miа16: прошу хелп https://znanija.com/task/38430924
Miа16: прошу хелп https://znanija.com/task/38432488
ClarisVerbis: Добрый день. Буду рада помощи. https://znanija.com/task/38481034
Вас заинтересует