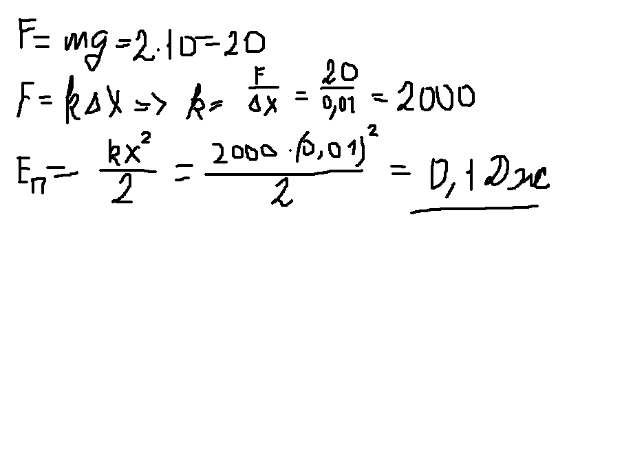
Груз массой 2кг,положенный на легкую чашу пружинных бытовых весов, сжимает пружину на 10 мм. Чему равна потенциальная энергия сжатой пружины?
Ответы
Ответ дал:
0
решение в вкладке сеизу
Приложения:
Вас заинтересует
3 года назад
3 года назад
8 лет назад
8 лет назад
11 лет назад
11 лет назад
11 лет назад