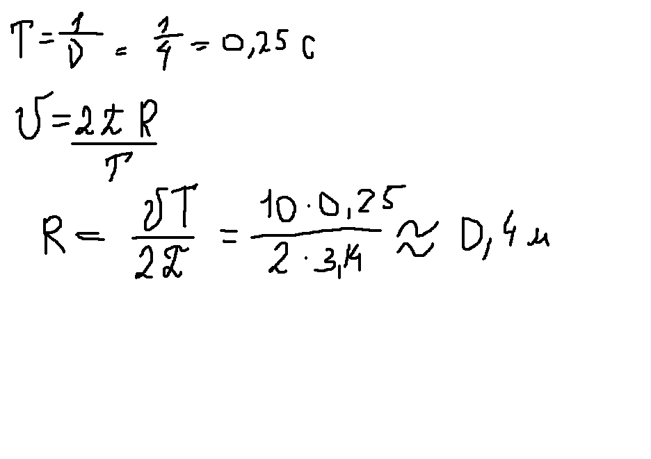
Найдите радиус равномерно вращающего колеса,если скорость точек обода колеса равна 10м/с ,а частота вращения колеса-4с в степени минус 1
Ответы
Ответ дал:
0
ответ снизу в вкладке....
Приложения:

Вас заинтересует
2 года назад
2 года назад
10 лет назад
10 лет назад
10 лет назад