• Предмет: Физика
  • Автор: selskoihlopak17
  • Вопрос задан 3 года назад

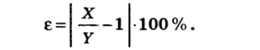
За якою формулою можна оцінити відносну похибку перевірки рівності x=y

Ответы

Ответ дал: kydinova77
13

°°°°°°°°°°°°°°°°°°°°°°°°°°°°°°°

Приложения:
Вас заинтересует