• Предмет: Алгебра
  • Автор: Аноним
  • Вопрос задан 3 года назад

пожалуйста срочно 20 баллов​

Приложения:

AlexArdguna: обязательно делить именно в столбик?
Аноним: да

Ответы

Ответ дал: palilov243659
1

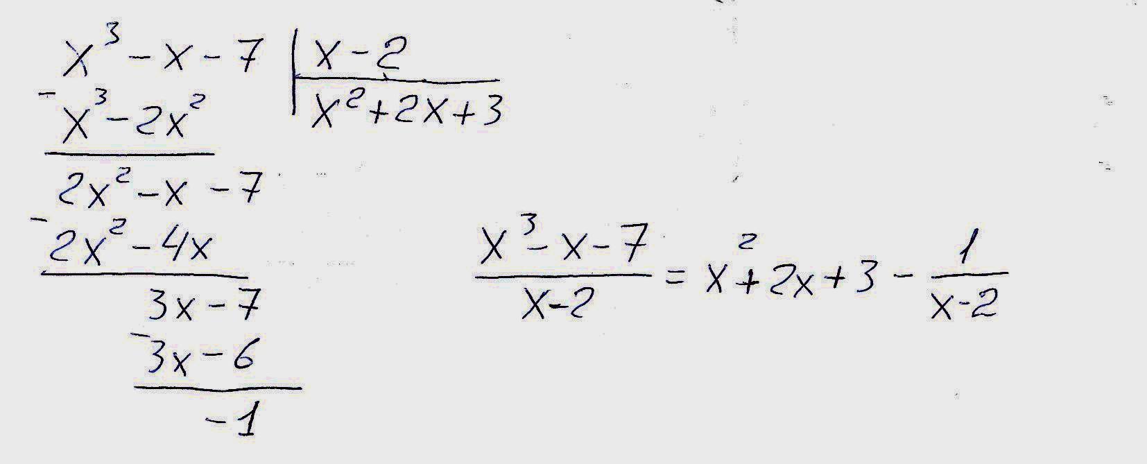
Ответ:

Объяснение:

во вложении

Приложения:
Вас заинтересует