Ответы
Ответ дал:
0
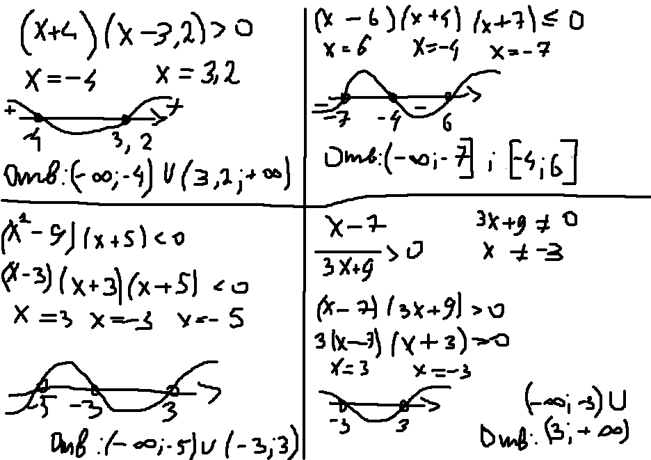
33)х<-4, x>3,2
34) x≤-7, -4≤x≤6
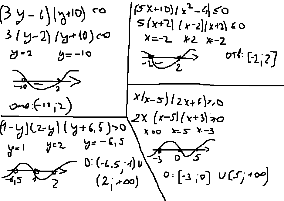
35) -10<x<2
36) x≤-6< -2≤x≤4
37) -6,5<x<1 , x>2
38)[-3 0], [5 до бесконечности
39) x≤-5, -3≤x≤3
34) x≤-7, -4≤x≤6
35) -10<x<2
36) x≤-6< -2≤x≤4
37) -6,5<x<1 , x>2
38)[-3 0], [5 до бесконечности
39) x≤-5, -3≤x≤3
Ответ дал:
0
40) от минус бесконечности до 2
Ответ дал:
0
ответ во вкладке снизууууууууу
Приложения:


Ответ дал:
0
а можно еще другие)
Вас заинтересует
8 лет назад
8 лет назад
10 лет назад
10 лет назад
10 лет назад