Срочно! Вычислить (не путём преобразования степеней в целые числа, это было бы слишком просто)
Приложения:

Ответы
Ответ дал:
2
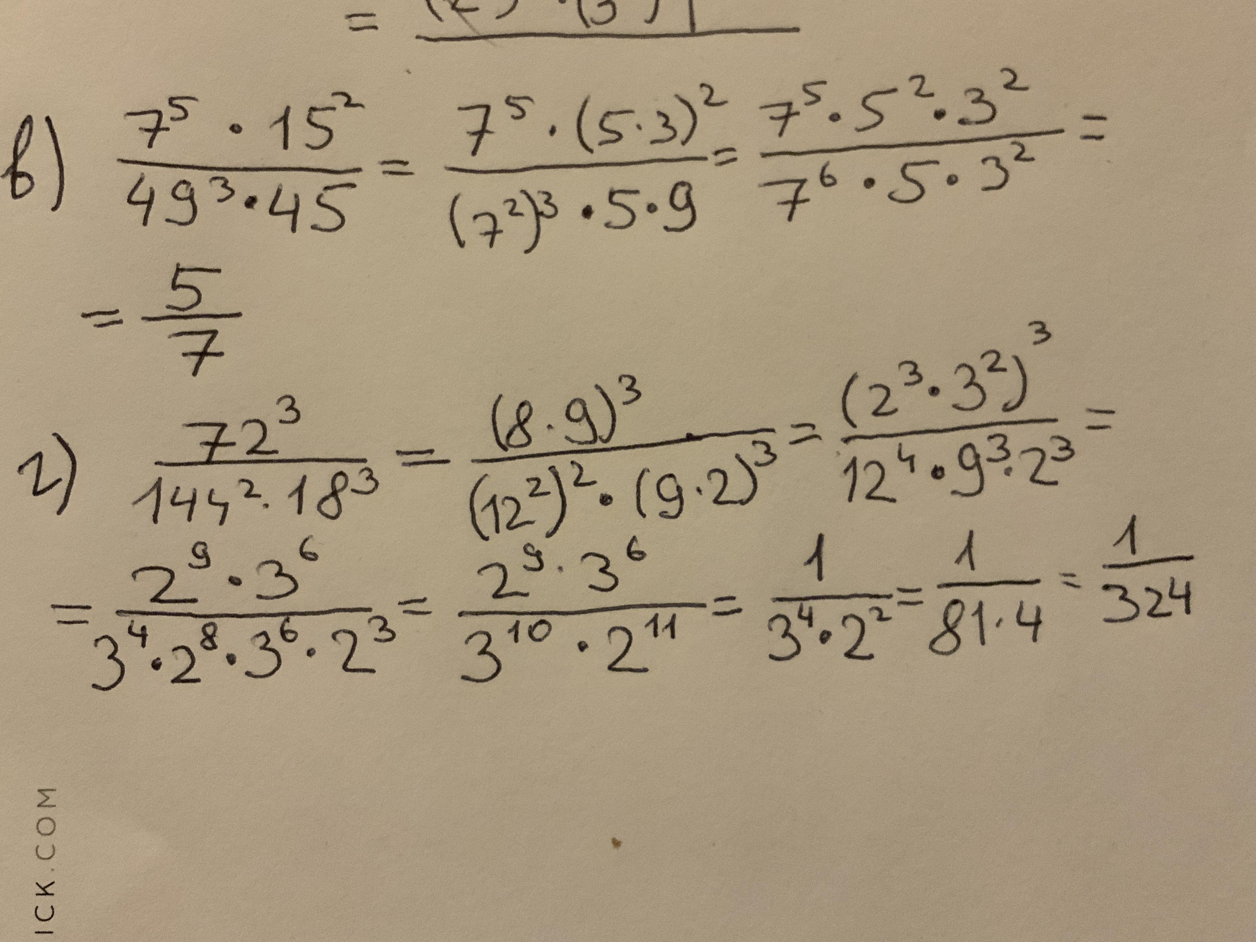
Решила вот так.........
Приложения:

Ответ дал:
1
Ответ: в) 5/7; г) 1/324. Решение на фото.
Приложения:

Вас заинтересует
2 года назад
2 года назад
2 года назад
2 года назад
7 лет назад
7 лет назад