на Математика. 9 класе. Вариант 2
КОД
ТОО 15
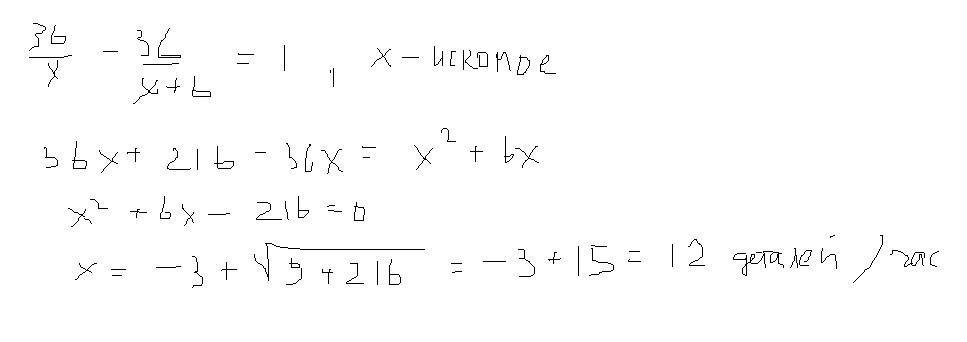
) Первый рабочий за час делает на 6 деталей больше, чем второй, и мыполняет заказ,
состоящий из 36 деталей, на 1 час быстрее, чем второй рабочий, мыполняющий такой же
заказ. Сколько деталей в час делает второй рабочий?
Зашите решение и ответ.
Решение.
Ответы
Ответ дал:
8
Ответ:
12 деталей
Пошаговое объяснение:
Приложения:

Вас заинтересует
2 года назад
2 года назад
2 года назад
7 лет назад
9 лет назад