• Предмет: Математика
  • Автор: 8karimasyzdykova8
  • Вопрос задан 3 года назад

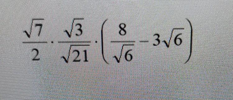
Вычислите. Ответ запишите в виде √: ​

Приложения:

Ответы

Ответ дал: сок111213
0

 \frac{ \sqrt{7} }{2}  \times  \frac{  \sqrt{3}  }{ \sqrt{21} }  \times ( \frac{8}{ \sqrt{6}  }  - 3 \sqrt{6} ) = -  \frac{5 \sqrt{6} }{3}   \\  \frac{ \sqrt{7} }{2}  \times  \frac{ \sqrt{3} }{ \sqrt{21} }  =  \sqrt{ \frac{7 \times 3}{4 \times 21} }  =  \sqrt{ \frac{1 \times3}{4 \times 3} }  =  \sqrt{ \frac{1}{4} }  =  \frac{1}{2}  \\  \frac{8}{ \sqrt{6} }  - 3 \sqrt{6}  =  \frac{8 \sqrt{6} }{ \sqrt{6}  \times  \sqrt{6} }  - 3 \sqrt{6}  =  \frac{8 \sqrt{6} }{6}  - 3 \sqrt{6}  =  \frac{4 \sqrt{6} }{3}  - 3 \sqrt{6}  =  \frac{4 \sqrt{6}  - 9 \sqrt{6} }{3}  =  -  \frac{5 \sqrt{6} }{3}  \\  \frac{1}{2}  \times ( -  \frac{5 \sqrt{6} }{3} ) =  -  \frac{5 \sqrt{6} }{6}

Вас заинтересует