Ответы
                                            Ответ дал: 
                                                                                            
                                                    
                                                
                                                                                    
                                        
                                            
                                                
                                                
                                                
                                                    0
                                                
                                            
                                        
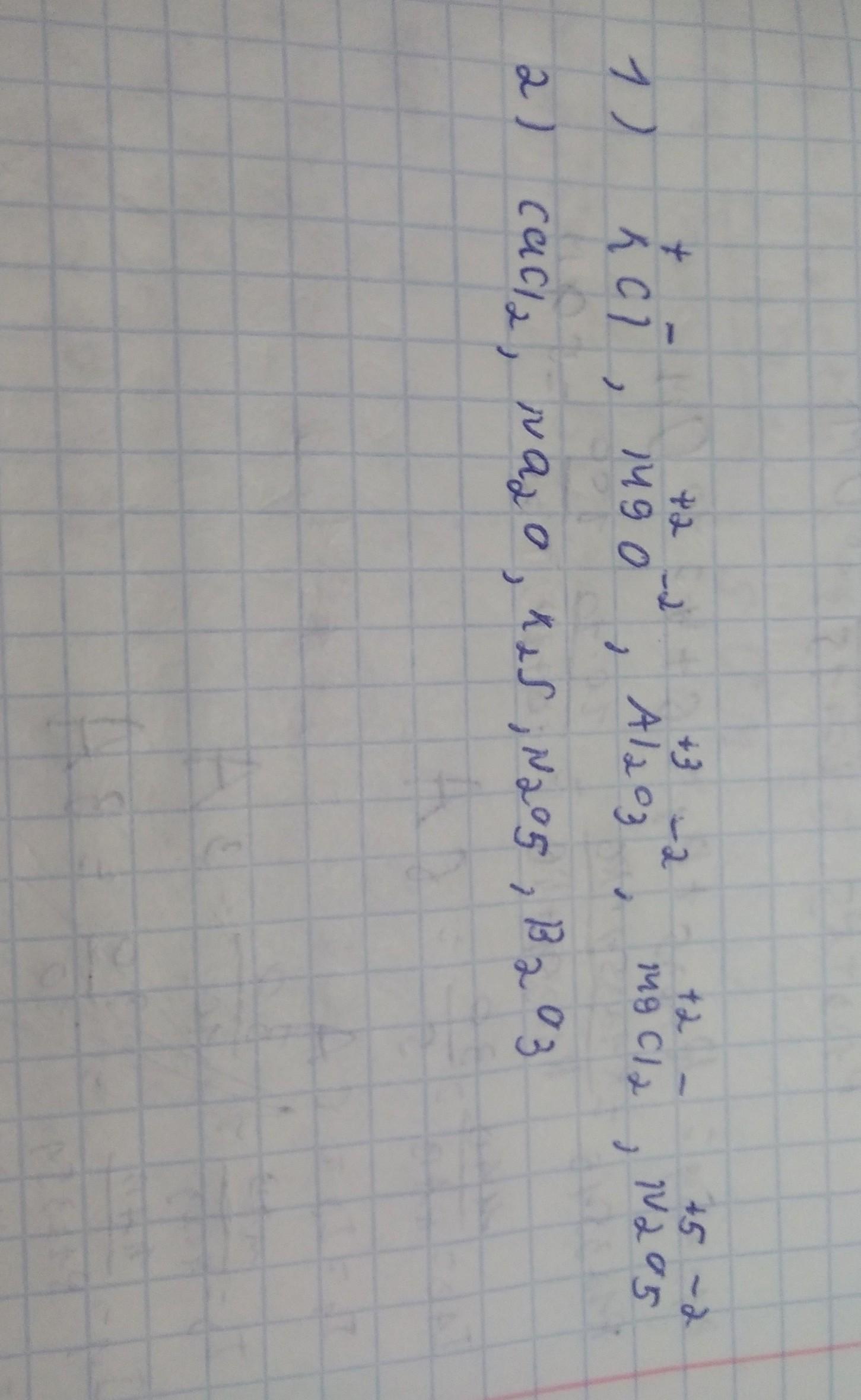
                                    1) KCl. Степень окисления у калия +1
MgO. Степень окисления у магния. +2
Al2O3. Степень окисления у. Алюминия +3
MgCl2. Степень окисления у хлора - 1
N2O5. Степень окисления. У азота. +5
2) CaCl2, Na2O, K2S, N2O5, B2O3
Приложения:
                    
                            
                    Аноним:
                    это точно правильно
                
            
                    
                    да
                
            
                    
                    а можно пожалуйста сюда написать 1 задание, просто не понятно там
                
            
                    
                    ????
                
            
                    
                    хорошо
                
            Вас заинтересует
                
                        2 года назад
                    
                
                        2 года назад
                    
                
                        2 года назад
                    
                
                        2 года назад
                    
                
                        7 лет назад
                    
                
                        7 лет назад
                    
                
                        9 лет назад