• Предмет: Математика
  • Автор: bibaboba22813371488
  • Вопрос задан 3 года назад

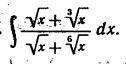
Решите неопределенный интеграл пожалуйста

Приложения:

Ответы

Ответ дал: Miroslava227
1

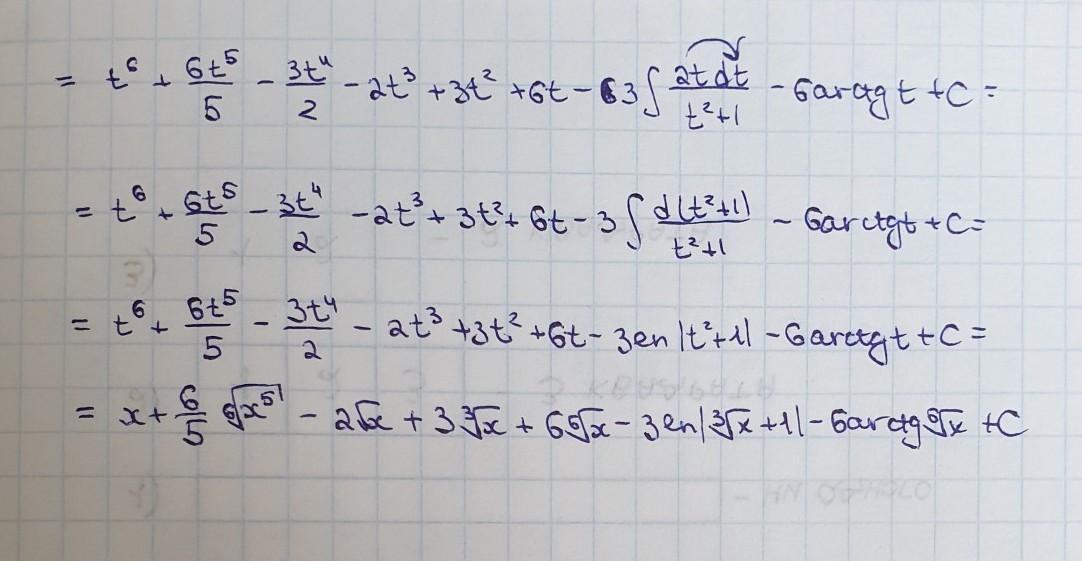
Ответ:

решение на фотографиях

Приложения:
Вас заинтересует