• Предмет: Алгебра
  • Автор: zhanerke200833
  • Вопрос задан 3 года назад

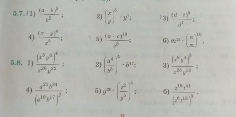
как сделать помогите срочно!!!​

Приложения:

Ответы

Ответ дал: serovaksusa1
0

Ответ:

Смотри решение на фото

Приложения:

serovaksusa1: в этих примерах из большей степени вычитаес я меньшая, и результат от вычитание пишется там, где большая степень..
Вас заинтересует