• Предмет: Химия
  • Автор: parislover
  • Вопрос задан 3 года назад

СРОЧНО ОТДАЮ ВСЕ СВОИ БАЛЛЫ ПОЖАЛУЙСТА ПОМОГИТЕ

Приложения:

Ответы

Ответ дал: Himulia
1

Ответ:

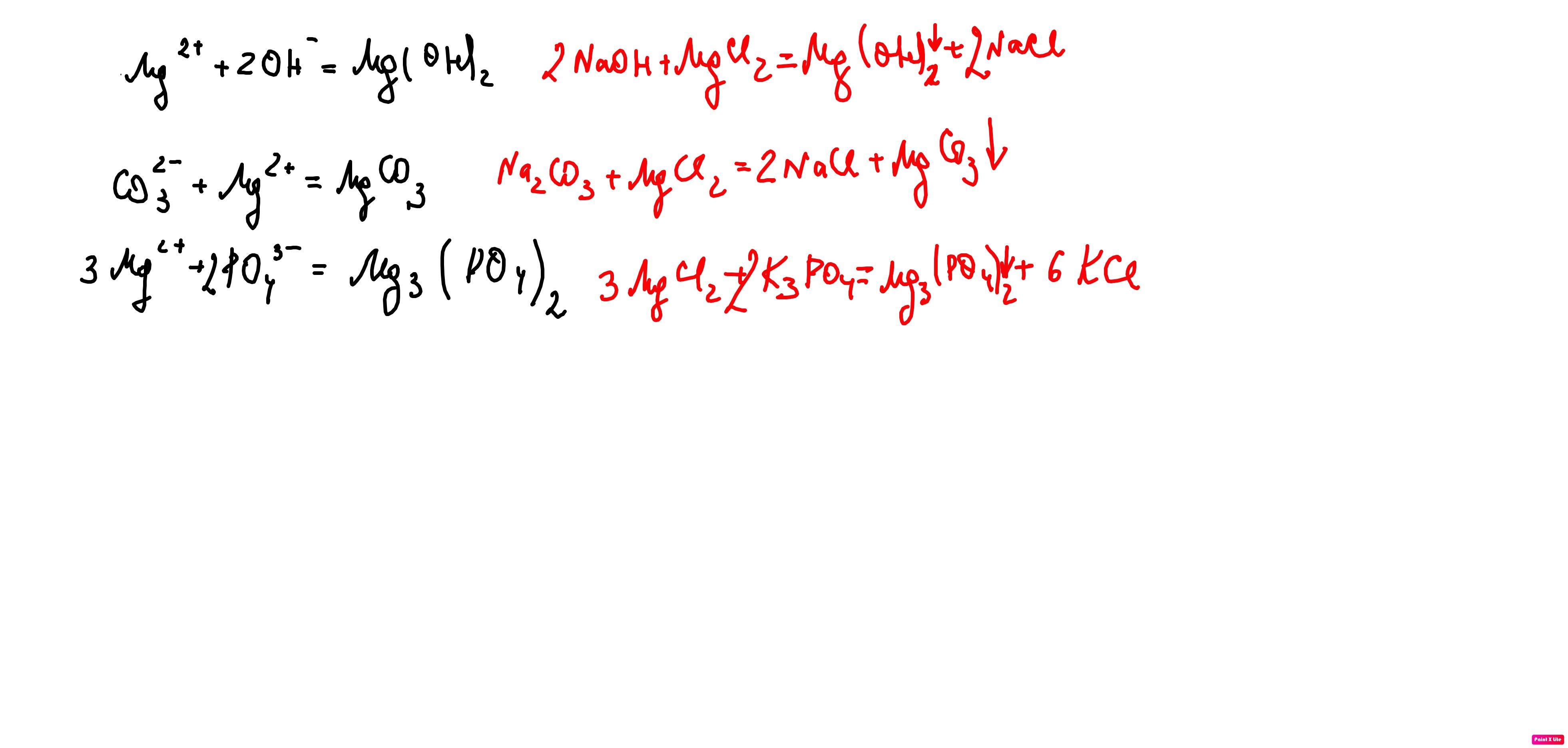
Ответ в приложенном файле

Объяснение:

Реакции идут, если образуются осадок, газ или вода

Приложения:
Вас заинтересует