Ответы
Ответ дал:
15
Ответ:
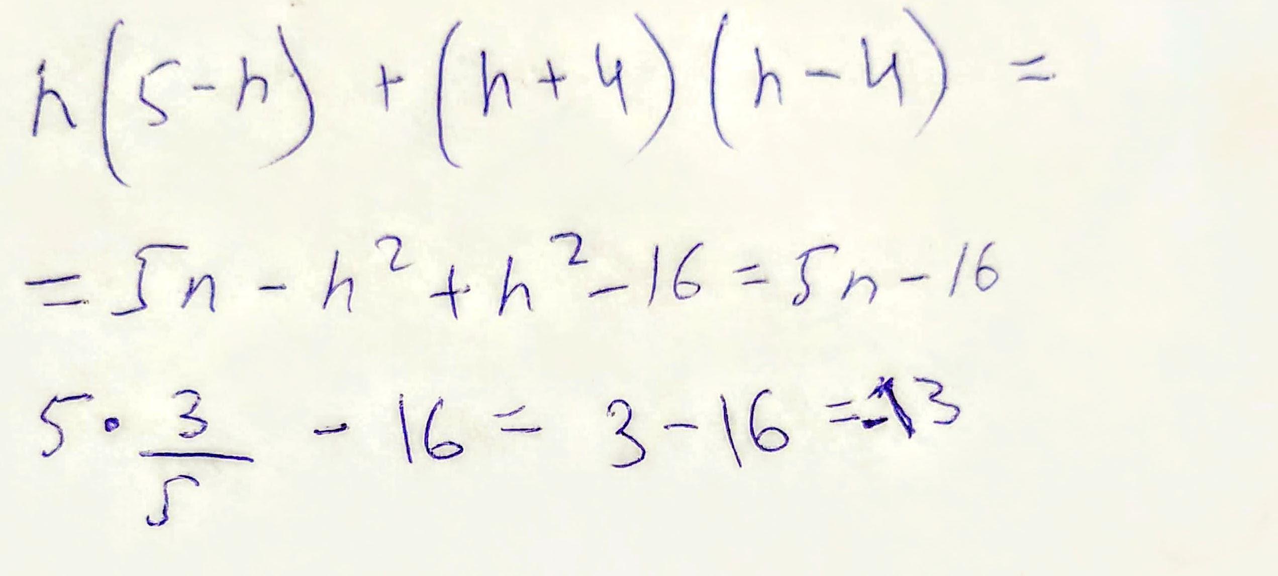
минус 13
подпишись хехехе
Приложения:

Вас заинтересует
2 года назад
7 лет назад
9 лет назад