• Предмет: Алгебра
  • Автор: teryaev16t
  • Вопрос задан 3 года назад

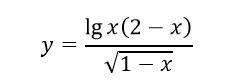
Помогите найти одз пожалуйста

Приложения:

Ответы

Ответ дал: Miroslava227
1

Ответ:

решение на фотографии

Приложения:
Вас заинтересует