• Предмет: Алгебра
  • Автор: aleksandrrusul
  • Вопрос задан 3 года назад

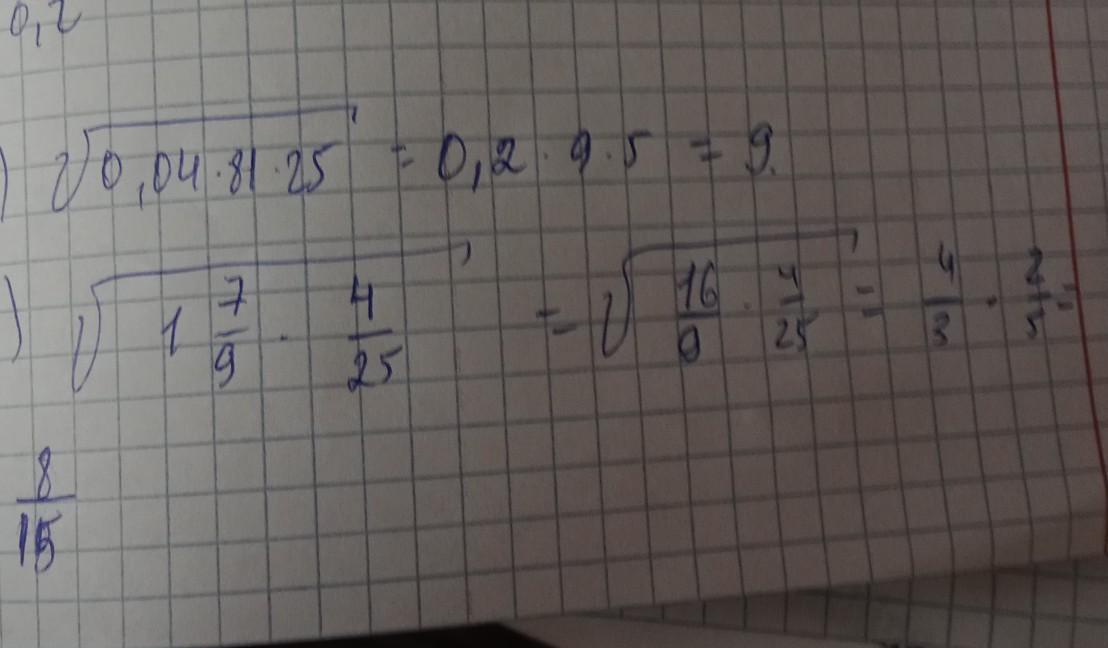
Найдите значение выражения и найдите значение корня. Помогите пожалуйста! Даю 50 баллов.

Приложения:

Ответы

Ответ дал: baglanzhanibekova86
1

Ответ:

не сложно очень лёгкая упражнения

Приложения:
Ответ дал: papinamama228
1

Ответ:

такие примеры лучше решать в приложении photomatch

Приложения:
Вас заинтересует