Ответы
Ответ дал:
0
Вот так вот несложно)
Просто выразили игрек и подставили во второе :)
Просто выразили игрек и подставили во второе :)
Приложения:
Ответ дал:
0
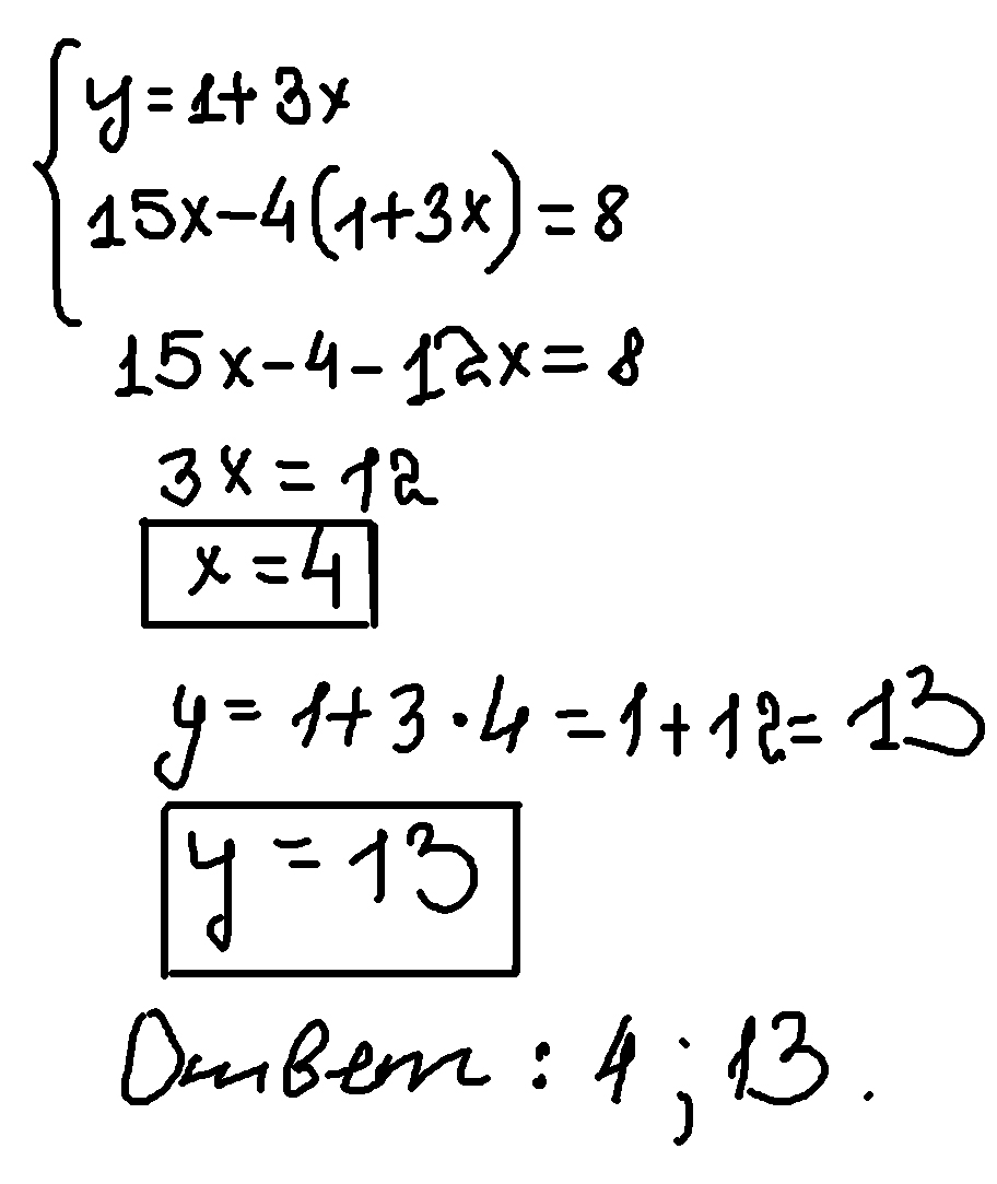
{15х-4у=8
{у=1+3х
{15х-4(1+3х)=8
{у=1+3х
{15х-4-12х=8
{у=1+3х
{3х=12
{у=1+3х
{х=4
{у=13
{у=1+3х
{15х-4(1+3х)=8
{у=1+3х
{15х-4-12х=8
{у=1+3х
{3х=12
{у=1+3х
{х=4
{у=13
Приложения:
Вас заинтересует
3 года назад
8 лет назад
8 лет назад
11 лет назад
11 лет назад
11 лет назад