Тело массой 100 кг поднимают с ускорением 2 м/с2 на высоту 25 м. Какая работа совершается при подъеме тела?
Ответы
Ответ дал:
0
A=F*S*cosaA=m*a*S*cosaA=100*2*25*1=5000 Дж.Ответ: 5000 Дж.
Ответ дал:
0
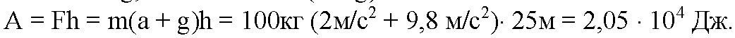
m = 100кг; a = 2м/с2; h = 25м; A -?
Открой картинки там тоже
Открой картинки там тоже
Приложения:



Вас заинтересует
2 года назад
2 года назад
8 лет назад
8 лет назад
10 лет назад
10 лет назад