• Предмет: Алгебра
  • Автор: nikanoratantonov2006
  • Вопрос задан 3 года назад

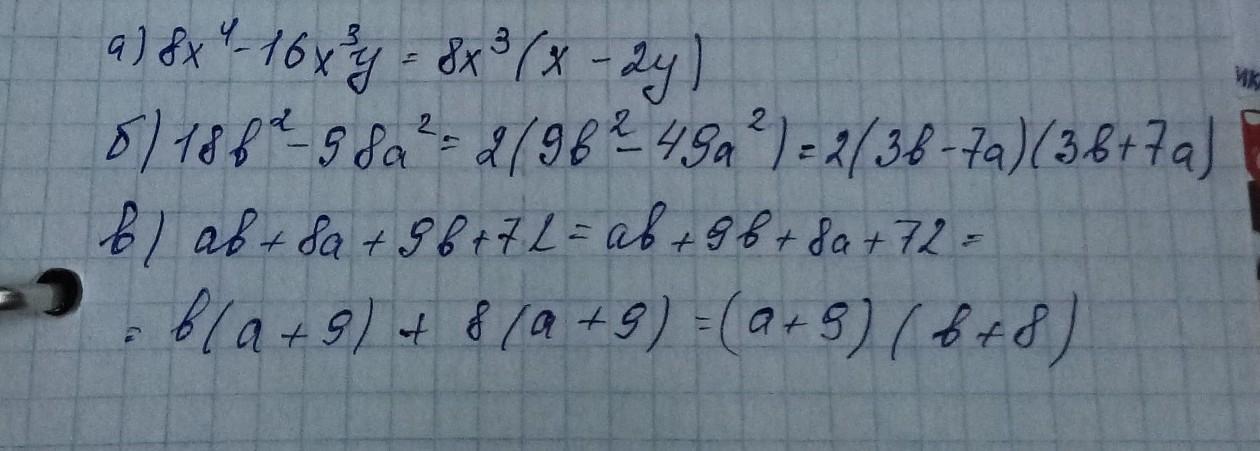
. Разложите на множители:
а) 8х⁴-16х³у
б) 18b²-98a²
в) аb+8a+9b+72

Ответы

Ответ дал: iliyaskina
2

Ответ:

ответ внизу на фотографии

Приложения:
Ответ дал: mrbogdano04
1

Объяснение:

...................

Приложения:
Вас заинтересует