• Предмет: Алгебра
  • Автор: anonim8188
  • Вопрос задан 3 года назад

памагити
......................​

Приложения:

Ответы

Ответ дал: gggarbakov
1

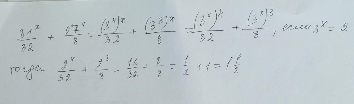
Ответ:

Смотри решение на фото

Приложения:

anonim8188: Спасибо большое, очень помог!
Вас заинтересует