Ответы
Ответ дал:
0
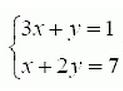
Из первого уравнение имеем: у=1-3х . И подставим его во 2-ое.
х+2(1-3х)=7
х+2-6х=7
-5х=5
х= -1
Подставим значение х в любое уравнение и высчитаем у.
3*(-1) +у=1
-3+у=1
у=4
х+2(1-3х)=7
х+2-6х=7
-5х=5
х= -1
Подставим значение х в любое уравнение и высчитаем у.
3*(-1) +у=1
-3+у=1
у=4
Вас заинтересует
3 года назад
8 лет назад
8 лет назад
11 лет назад
11 лет назад
11 лет назад