• Предмет: Физика
  • Автор: helpmplz
  • Вопрос задан 3 года назад

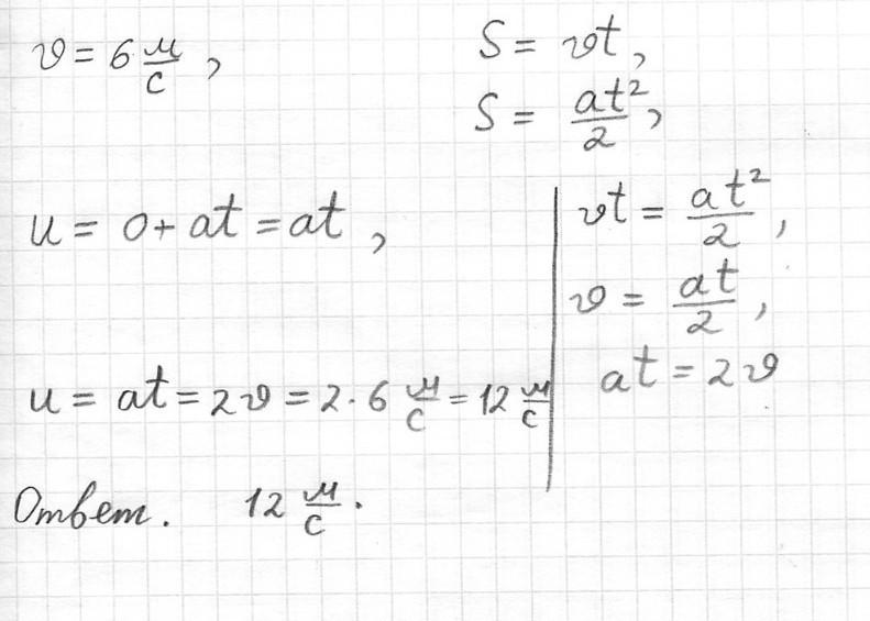
Мотоциклист движется по прямой дороге со скоростью 6 м/с. Когда он проезжает мимо неподвижной машины, она начинает двигаться вслед за ним равноускоренно. Определите скорость машины в тот момент, когда она догонит мотоциклиста

Ответы

Ответ дал: mtitovas
0

тогда так

надеюсь так понятно)

Приложения:

helpmplz: Зае6ись ответ без рншения, именно то что я хотел
Вас заинтересует