• Предмет: Математика
  • Автор: nuralibektur
  • Вопрос задан 3 года назад

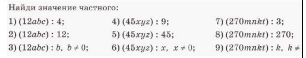
Помогите пожалуйста!​

Приложения:

Ответы

Ответ дал: larichevalexandr
0

Либо я ку-ку, либо это не 1-4 классы вопрос (мне это отображается так)

Вас заинтересует