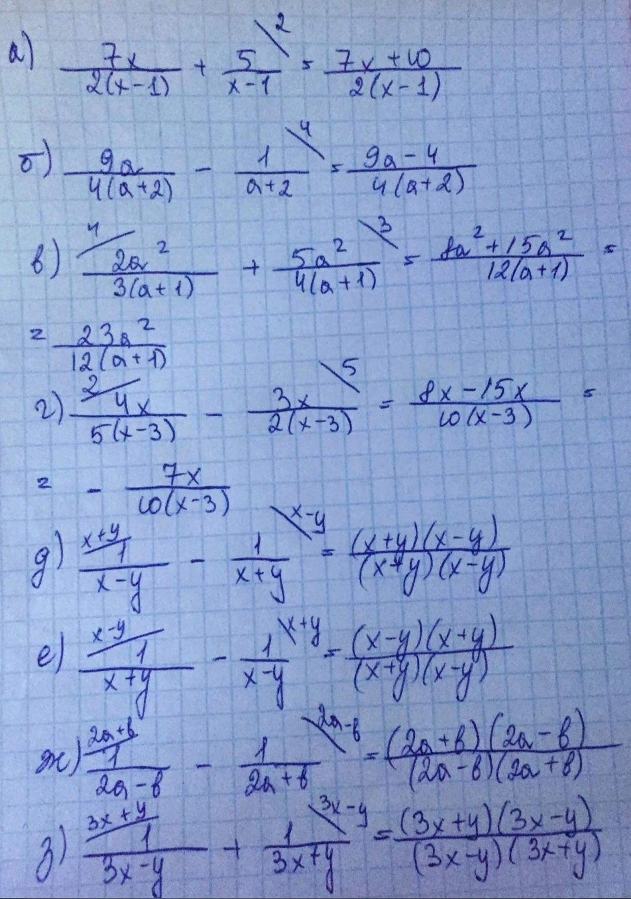
Представте в виде дроби
Приложения:

muhadovaajlara:
Вы можете мне отправить фото ответа?Пожалуйста?!!
Ответы
Ответ дал:
1
Ответ:
Объяснение:
Подробно в файле, удачи
Приложения:

Вас заинтересует
2 года назад
2 года назад
2 года назад
2 года назад
7 лет назад
7 лет назад
9 лет назад