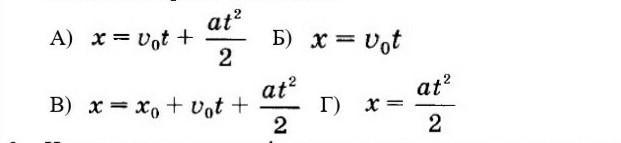
Формула для координаты тела, движущегося равноускоренно с начальной скоростью из начала координат имеет вид:
Приложения:

Ответы
Ответ дал:
6
Ответ: Вариант А)
Объяснение: х = v0t + at/2
Вас заинтересует
2 года назад
2 года назад
2 года назад
7 лет назад
7 лет назад
9 лет назад