• Предмет: Алгебра
  • Автор: verokatimako
  • Вопрос задан 3 года назад

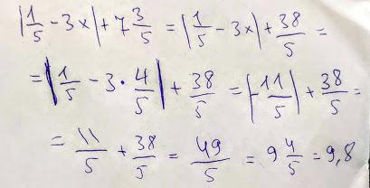
Найдите значение выражения |1/5-3х|+7 3/5 при х=4/5

 +
СРОЧНОО

Ответы

Ответ дал: v4023420
4

понравился ответ подписка

Приложения:

verokatimako: СПАСИБО
v4023420: пожалуйста
Вас заинтересует