Ответы
Ответ дал:
1
Ответ:
Пошаговое объяснение:
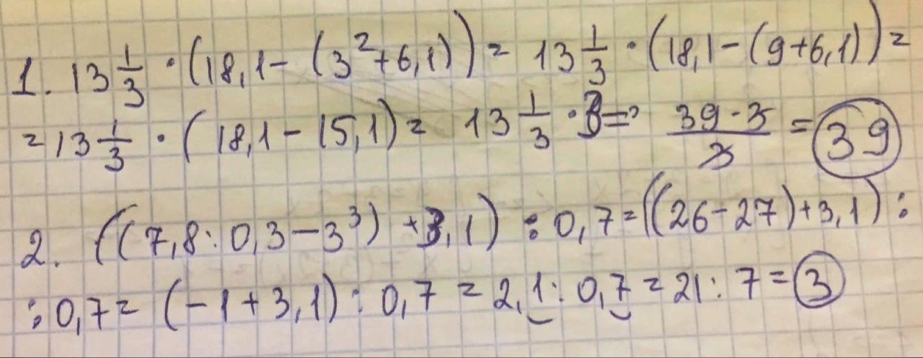
Подробно в файле, удачи
Приложения:

milanakotova770:
помогите с дз мне пожалуйста
Вас заинтересует
2 года назад
2 года назад
2 года назад
2 года назад
7 лет назад
9 лет назад