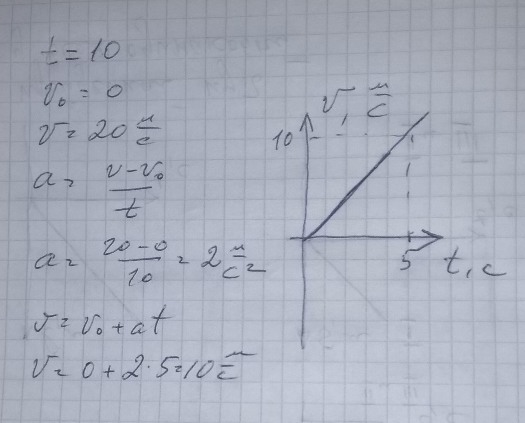
Автомобиль за 10 с разогнался с места до скорости 20 М/С двигаясь прямолинейно и равноускоренно.
а)С каким ускорением двигался автомобиль?
б)Постройте график зависимости модуля скорости автомобиля от времени
в)Чему равна скорость автомобиля через 5 с после старта?
Ответы
Ответ дал:
22
Ответ:
v=10м/с
Объяснение:
Приложения:

Вас заинтересует
2 года назад
2 года назад
7 лет назад
7 лет назад
9 лет назад