• Предмет: Алгебра
  • Автор: Аноним
  • Вопрос задан 3 года назад

Пожалуйста помогите советом как сделать правильный ​

Приложения:

Ответы

Ответ дал: table123
0

Ответ:

Объяснение:

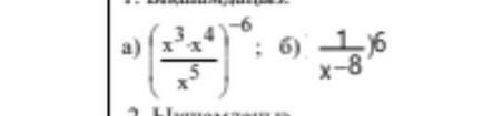
a)   = (x^5/x^7)^6=(1/x^2)^6=1/x^12    (пример:  (1/5)^-2=5^2, дробь переворачивается)

б)   =(x^8)^6=x^48   (a^-n=1/a^n)

Вас заинтересует