Принято считать, что среди диапазона голосов певцов и певиц женское сопрано занимает частотный интервал от ν1=250Гц до ν2=1000 Гц. Отношение граничных длин звуковых волн λ1/ λ2 этого интервала равно ...
Варианты ответа:
Ответы
Ответ дал:
3
Ответ:
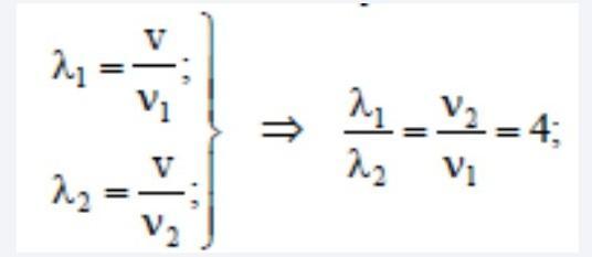
Частота источника колебаний, скорость волн в данной среде и длина воны, связаны соотношением: v = νλ, поэтому
Мужской голос баритон занимает частотный интервал от ν1 = 100 Гц до ν2 = 400 Гц. Чему равно отношение длин волн соответствующих
Высота тона определяется частотой звука. Например, бас — низкий тон, сопрано — высокий тон. Частотный диапазон голосов певцов
Голос сопрано занимает частотный диапазон от v1 =250 до v2 = 1000 Гц. Найдите отношение граничных длин волн л2/л1
Приложения:

Вас заинтересует
2 года назад
2 года назад
2 года назад
7 лет назад
7 лет назад
9 лет назад