Ответы
Ответ дал:
1
Ответ:
Объяснение:
решение внизу
Приложения:

Ответ дал:
1
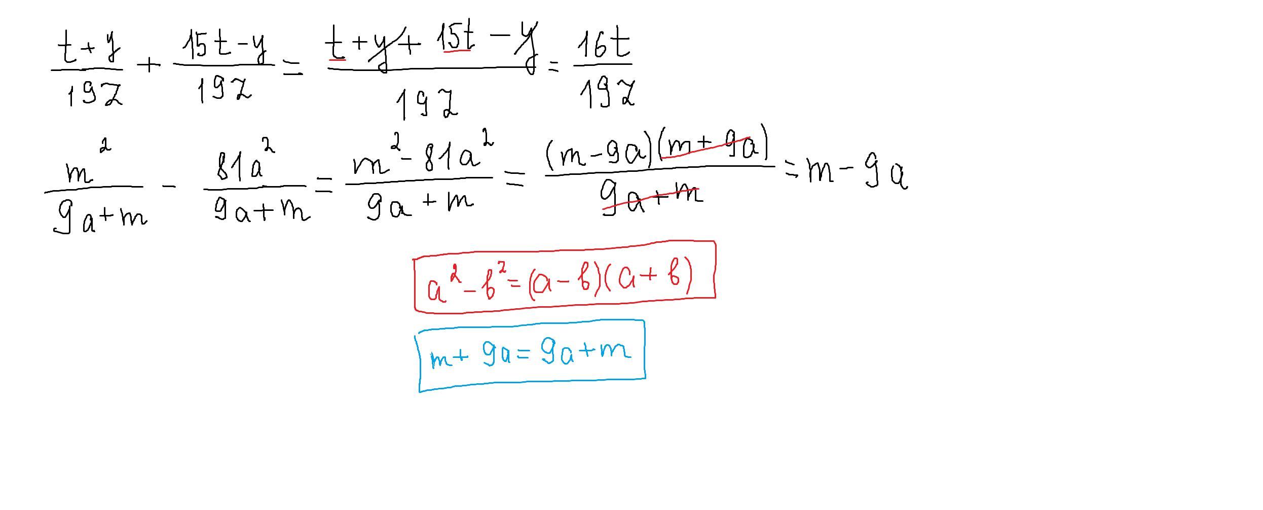
4. правильный ответ 16t/19z, т.к при сложение дробей с одинаковым знаменателем складываются только числители => t+y+15t-y=16t+y-y=16t, а знаменатель остаётся тот же.
6. m^2-81a^2/9a+m=(m-9a)(m+9a)/9a+m=m-9a
опять же знаменатель остаётся таким же, вычитаются только числители, а m^2-81a^2 - это разность квадратов => его разложим на множители (m-9a)(m+9a), и (m+9a) сокращается со знаменателем и остаётся m-9a.
6. m^2-81a^2/9a+m=(m-9a)(m+9a)/9a+m=m-9a
опять же знаменатель остаётся таким же, вычитаются только числители, а m^2-81a^2 - это разность квадратов => его разложим на множители (m-9a)(m+9a), и (m+9a) сокращается со знаменателем и остаётся m-9a.
Вас заинтересует
2 года назад
2 года назад
2 года назад
2 года назад
7 лет назад
7 лет назад
9 лет назад