• Предмет: Информатика
  • Автор: sivkovivan860
  • Вопрос задан 3 года назад

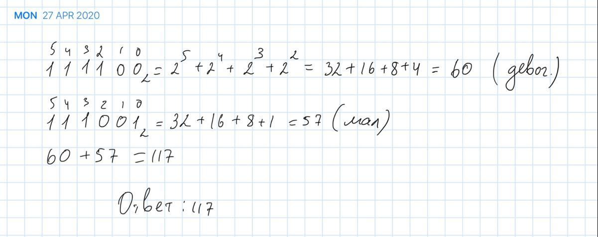
2 задание Помогите срочно пожалуйста дам 27 баллов

Приложения:

Ответы

Ответ дал: noenc
0
Когда у тебя день рождения?

sivkovivan860: Читай внимательнее 2 задание
Ответ дал: papilovagames04
1
Ответ: 117 учеников
Приложения:
Вас заинтересует