Ответы
Ответ дал:
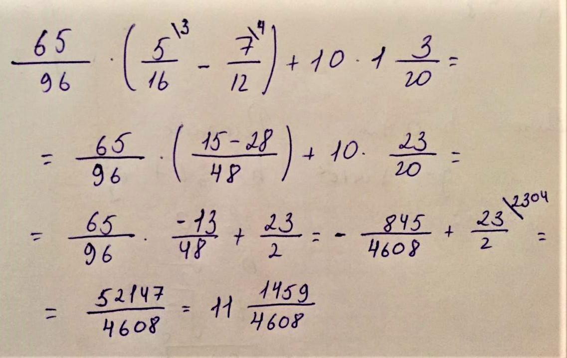
1
Ответ:
Держи
Объяснение:
Приложения:

samirmurzaliev2008:
Спасибо, но 65/96 там разделить, а не умножить
Вас заинтересует
2 года назад
2 года назад
2 года назад
7 лет назад
7 лет назад
9 лет назад