• Предмет: Математика
  • Автор: gaminat2005ru
  • Вопрос задан 3 года назад

помогите срочно как решить ​

Приложения:

Ответы

Ответ дал: Аноним
1

16 {}^{ \frac{1}{4} } \cdot 25 {}^{ \frac{1}{2} }

16 в степени 1/4 = 0,25 и получите 2

2 \cdot 25 {}^{( \frac{1}{2}) }  = 10

2 \times 5 = 10

Ответ: ~10


gaminat2005ru: не правильно
Ответ дал: Аноним
1

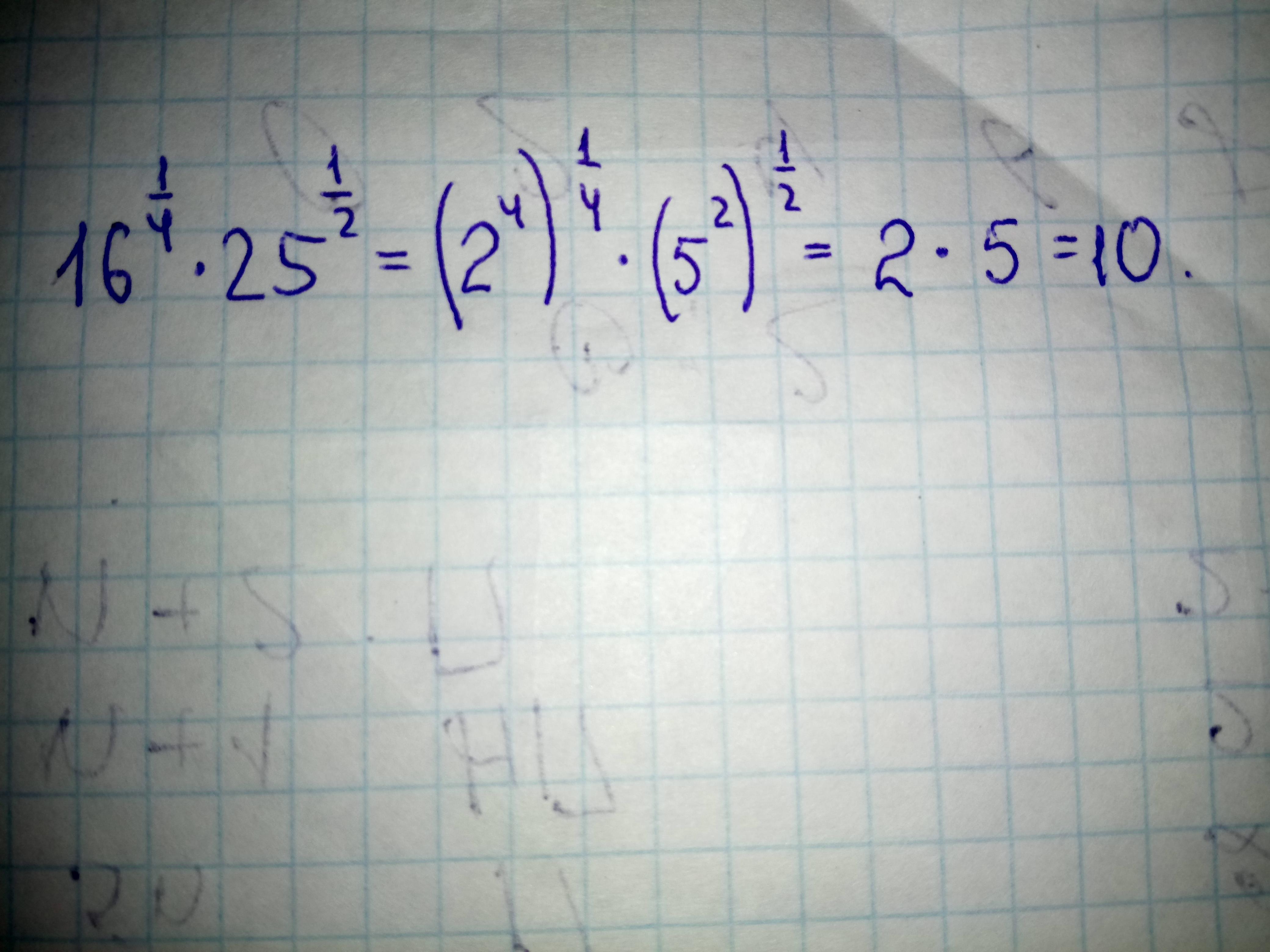
Решение задания прилагаю

Приложения:
Вас заинтересует