изобразите на координатной плоскости множество точек задаваемое неравенством:
(На скриншоте, прошу помогите, даю 40 баллов)
Приложения:

Ответы
Ответ дал:
1
Ответ:
3) Второе фото
4) Первое фото
Объяснение:
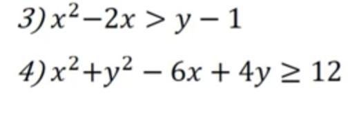
x² - 2x > y - 1
y < x² - 2x + 1
y < (x - 1)²
x² + y² - 6x + 4y ≥ 12
(x² - 6x + 9) - 9 + (y² + 4y + 4) - 4 ≥ 12
(x - 3)² + (y + 2)² ≥ 12 + 9 + 4
(x - 3)² + (y + 2)² ≥ 25
Приложения:


Вас заинтересует
2 года назад
2 года назад
2 года назад
7 лет назад
7 лет назад
9 лет назад