Ответы
Ответ дал:
0
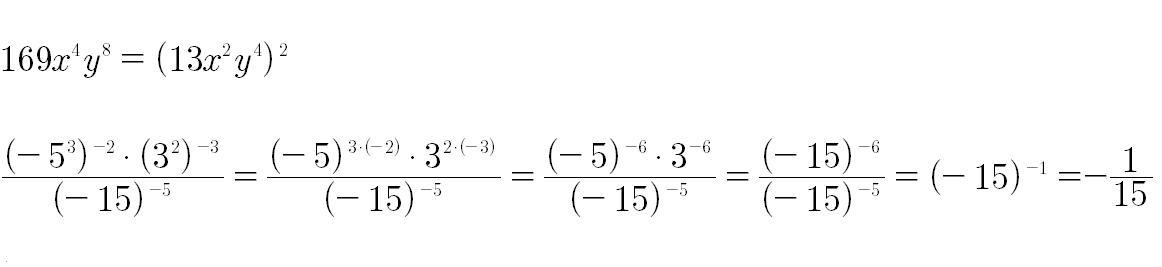
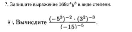
Ответ:
Объяснение:
.............................................
Приложения:

Вас заинтересует
2 года назад
2 года назад
7 лет назад