• Предмет: Математика
  • Автор: vikusyavikusya1996
  • Вопрос задан 3 года назад

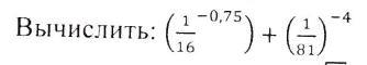
Помогите, пожалуйста, срочно

Приложения:

Ответы

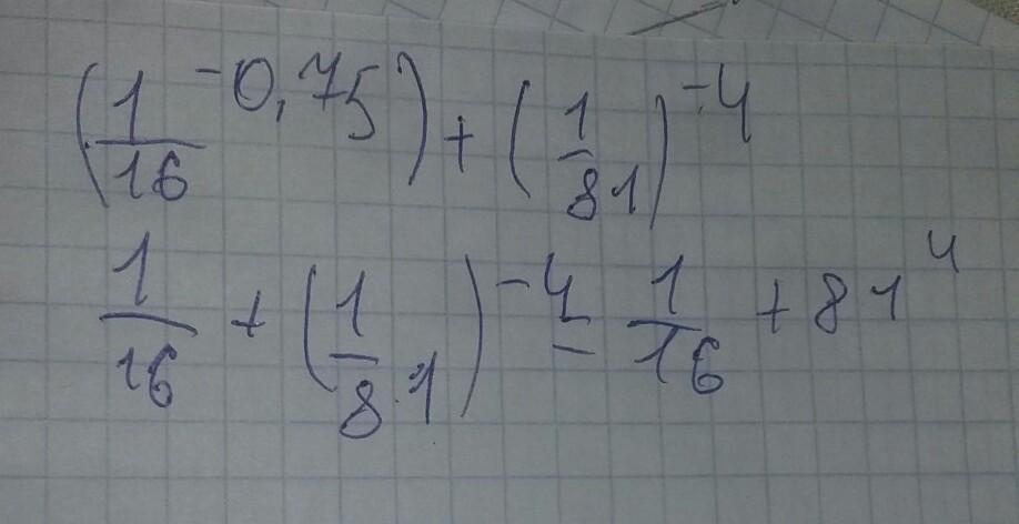
Ответ дал: fettervika995
1

Это правильно

Я недавно это делала

Приложения:
Вас заинтересует