помогите пожалуйста даю 20 баллов
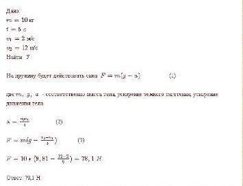
найдите силу каторую показывает динамометр если на динамометре опускается вертикально груз массой 10кг , так что его скорость изменилась за 5 секунд от 2 до 12 м/с
Ответы
Ответ дал:
1
Ответ:
Объяснение:
Дай лучшего
Приложения:

Вас заинтересует
2 года назад
2 года назад
2 года назад
7 лет назад
7 лет назад
9 лет назад
9 лет назад