• Предмет: Математика
  • Автор: olegvovchuk1110
  • Вопрос задан 3 года назад

Срочно!!!!!!!!!
Запишите координаты центра та радиуса круга заданного уравнением x^2+(y+2)^2=5

Ответы

Ответ дал: NNNLLL54
2

Ответ:

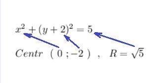
Уравнение окружности с центром в точке   (\, x_0\, ;\, y_0\, )  и радиусом  R:

          \boxed {\ (x-x_0)^2+(y-y_0)^2=R^2\ }  

x^2+(y+2)^2=5\\\\Centr\ \ (\ 0\ ;-2\ )\ \ ,\ \ R=\sqrt5

Приложения:
Вас заинтересует