Ответы
Ответ дал:
3
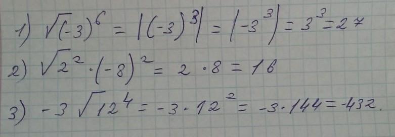
вот решение , надеюсь тебе понятно
Приложения:

Вас заинтересует
2 года назад
2 года назад
2 года назад
7 лет назад
9 лет назад