• Предмет: Алгебра
  • Автор: annaabramova9999
  • Вопрос задан 3 года назад

Решить надо пожалуйста

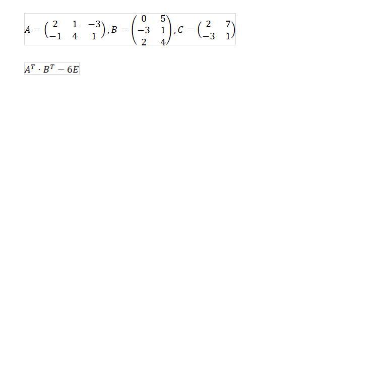
Приложения:

Ответы

Ответ дал: aselyadg
1

A= (2/-1 * 1/4 * -3/1)

A=2/-1 * 1/4 * -3/1

A= -2 * 1/4 * -3/1

A=1/2 * 3/1

A= 3/2

B=(0/-3/2 * 5/1/4)

B= 0/-3/2 * 5/1/4

B= 0/2 * 5/1/4

B= 0 * 5/1/4

B=0

C=(2/3 * 7/1)

C= 2*7/3*1

C= 14/3

Вроде бы так


annaabramova9999: Эти палочки это значит делить?
aselyadg: Да почти, это дробь
annaabramova9999: Спасибо большое
Вас заинтересует