• Предмет: Алгебра
  • Автор: seitmanovaaruzhan
  • Вопрос задан 3 года назад

помагите пж даю 35 баллов пжжж

Приложения:

Ответы

Ответ дал: koskakos
1

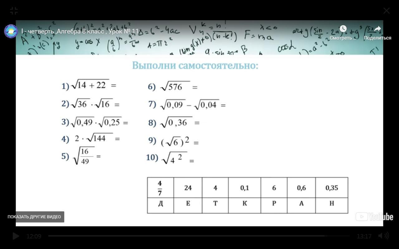
1) \sqrt{14+22}=\sqrt{36}=6\\2)\sqrt{36} * \sqrt{16}= 6*4=24\\3)\sqrt{0.49} *\sqrt{0.25}=0.7*0.5 = 0.35\\4)2*\sqrt{144}=2*12=24\\5)\sqrt{\frac{16}{49}}=\frac{4}{7} \\6)\sqrt{576}=24\\ 7)\sqrt{0.09}*\sqrt{0.04}=0.3-0.2=0.1\\8)\sqrt{0.36}=0.6\\9)(\sqrt{6})^{2}=6\\10)\sqrt{4^{2} } =4

Вас заинтересует