• Предмет: Алгебра
  • Автор: kharovxojiakbar
  • Вопрос задан 3 года назад

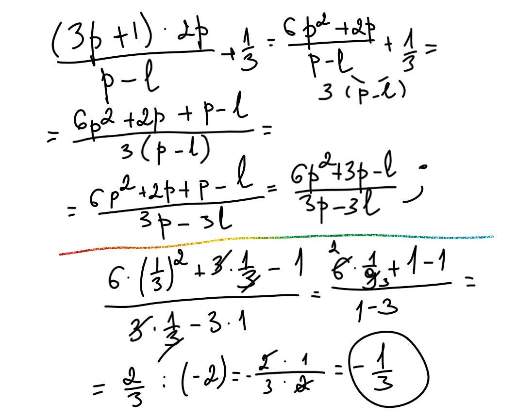
СРОЧНО ПОМОГИТЕ ПОЖАЛУЙСТА 2 пример

Приложения:

Ответы

Ответ дал: ksenya1902
0

Ответ:

в прикрепленном. если я правильно поняла, что именно должно было быть вторым примером на твоем фото

Объяснение:

Приложения:
Вас заинтересует