• Предмет: Алгебра
  • Автор: lovelifelove
  • Вопрос задан 10 лет назад

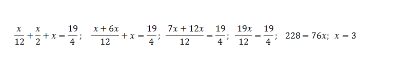
x/12 + x/2 +x = 19/4 дробное уравнение

Ответы

Ответ дал: Kailissa
0
x/12 + x/2 +x-19/4=0
x+6x+12x-57/12=0
19x-57/12=0
19(x-3)/12=0
x-3=0
x=3

Ответ дал: urasuper123
0
вот  решение к заданию
Приложения:
Вас заинтересует