• Предмет: Алгебра
  • Автор: serimbetovaekaterina
  • Вопрос задан 3 года назад

помогите пожалуйста решить​

Приложения:

Ответы

Ответ дал: deacognita3101
0

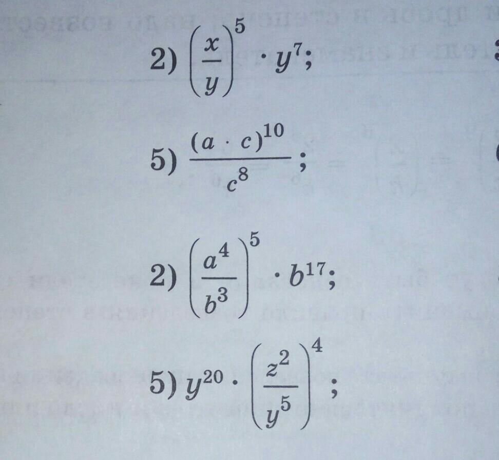
Ответ:

1. x в пятой у во второй

2. а в десятой с во второй

3. а в 20 б во второй

4. z в восьмой

Объяснение:


serimbetovaekaterina: спасибо,ну мне бы решение
Вас заинтересует