• Предмет: Алгебра
  • Автор: Miа16
  • Вопрос задан 3 года назад

\sqrt[3]{-25} * \sqrt[6]{25}

Ответы

Ответ дал: mmb1
1

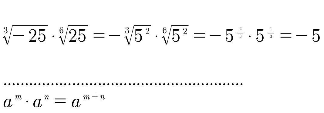
³√-25*⁶√25 = - ⁶√25²*⁶√25 = - ⁶√5⁶ = -5


Miа16: спс
Miа16: прошу хелп https://znanija.com/task/38432488
Ответ дал: tamarabernukho
1

Ответ:

Объяснение:

........................................

Приложения:
Вас заинтересует