• Предмет: Алгебра
  • Автор: amangeldinov93
  • Вопрос задан 3 года назад

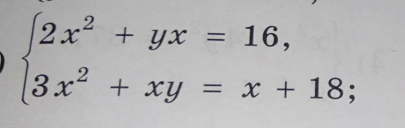
Решите способом алгебраического сложения систему уравнений

СТАВЛЮ 5 БАЛЛОВ

Приложения:

Ответы

Ответ дал: koskakos
1

\left \{ {{2x^{2} +yx=16} \atop {3x^{2}+xy=x+18}} \right.

Отнимаем от первого уравнения второе, получается:

-x^{2}=-x-2;\\-x^{2}+x+2=0; | *(-1)\\x^{2}-x-2=0;\\D= 1+8=9;\\x_{1}=\frac{1+3}{2} =2;\\x_{2}=\frac{1-3}{2}=-1;\\

x_{1}=2;\\2*2^{2}+y*2=16;\\8+2y=16;\\2y=8;\\y_{1} = 4;

x_{2}=-1\\2*(-1)^{2}+y*(-1)=16;\\2-y=16;\\-y=14;\\y_{2}=-14.

Ответ: x_{1} = 2, y_{1}=4;x_{2}=-1,y_{2}=-14


amangeldinov93: Спасибо большое
koskakos: Не за что
Вас заинтересует