Ответы
Ответ дал:
0
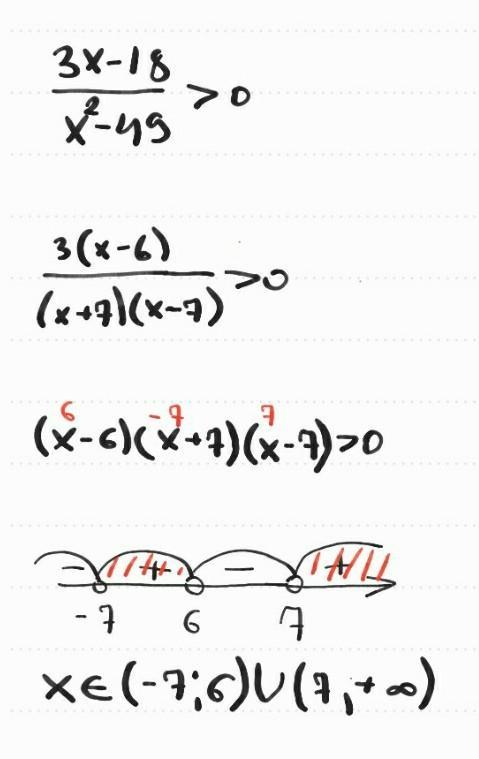
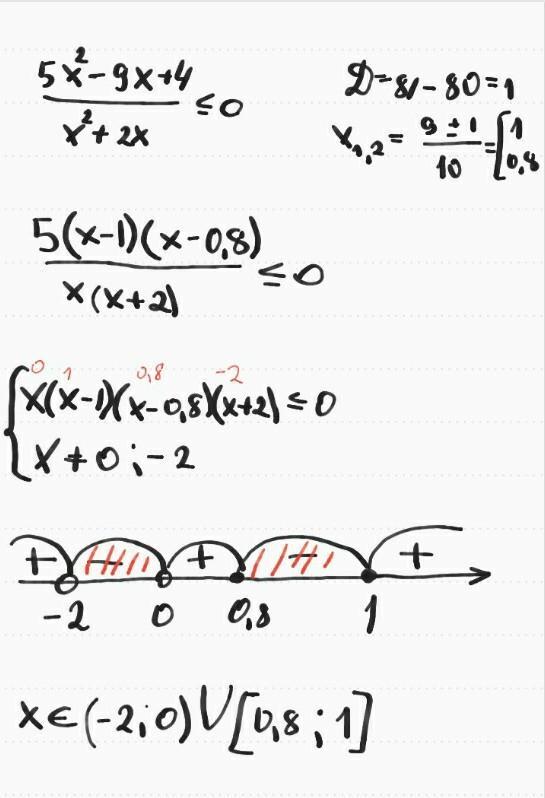
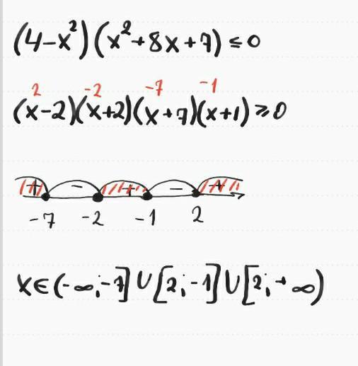
решение на фотографии
Приложения:



Вас заинтересует
2 года назад
2 года назад
2 года назад
7 лет назад
7 лет назад