• Предмет: Алгебра
  • Автор: artem2798
  • Вопрос задан 3 года назад

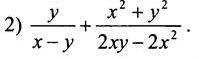
Пожалуйста помогите сократить

Приложения:

Ответы

Ответ дал: mukaevaakbota2007
1

Ответ:

  1.  \frac{y - x}{2x?}

artem2798: а как это решить?
artem2798: типо запись,
mukaevaakbota2007: ну
artem2798: в любом случае спасибо
mukaevaakbota2007: скачай приложении
artem2798: какое
mukaevaakbota2007: не за что
artem2798: а какое приложение то?
mukaevaakbota2007: photomath
mukaevaakbota2007: ..
Вас заинтересует